Actualités
Molecular-Scale Simulation of Auxetic Behavior in Side-Chain Liquid Crystalline Polymers (SCLCPs)

18 juillet 2025
Sadollah Ebrahimi, Olivier Couture, Armand Soldera*
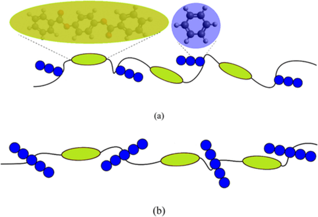
Nous sommes ravis de partager notre publication récente où nous montrons, grâce à la simulation à grain grossier, que le comportement auxétique peut être obtenu en s'appuyant sur le travail pionnier de Griffith et en appliquant des modifications clés aux polymères liquides cristallins à chaîne latérale (SCLCPs). Un exemple spécifique de la façon dont les idées fondamentales peuvent mener à de nouvelles propriétés matérielles grâce à une innovation réfléchie.
Nouvelles
Aucune nouvelle à afficher.
Événements
Aucun événement à venir.
